环氧树脂和氰酸酯的反应

 氰酸酯(CE)氰酸酯是含有氰酸基团(-O-C=N)的化合物的总称,可以与环氧基团反应形成五元环(恶唑啉环和恶唑二酮环),因此二官能团以上的氰酸基团也可以存在。该化合物可用作环氧树脂的固化剂。图1表示环氧树脂/CE的基本反应机理1-7)。   图中列

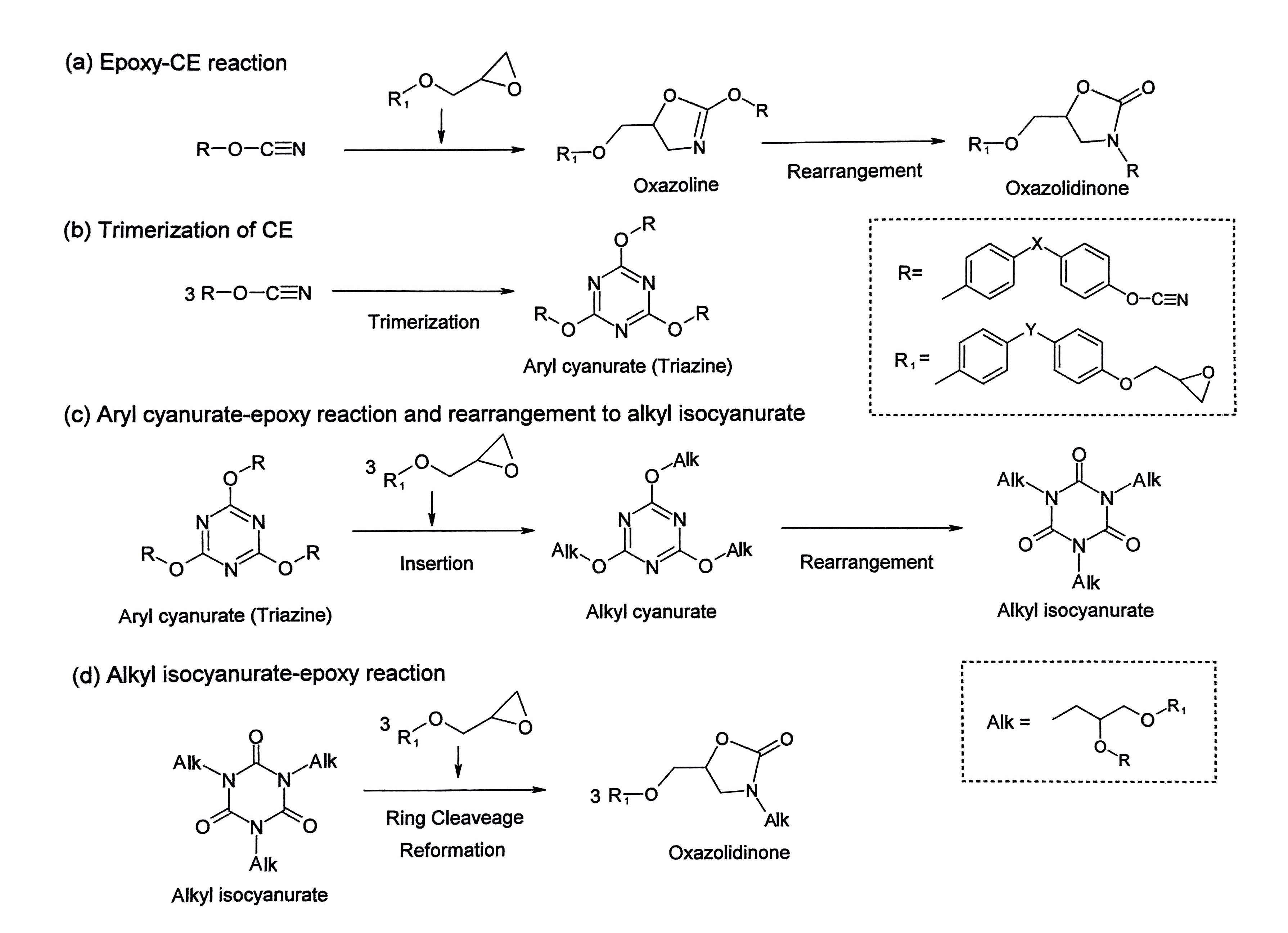
  氰酸酯(CE)氰酸酯是含有氰酸基团(-O-C=N)的化合物的总称,可以与环氧基团反应形成五元环(恶唑啉环和恶唑二酮环),因此二官能团以上的氰酸基团也可以存在。该化合物可用作环氧树脂的固化剂。图1表示环氧树脂/CE的基本反应机理1-7)。

  图中列出了以下四种反应:(a)环氧基和氰酸基团形成恶唑啉环及其重转形成恶唑二酮环,(b)通过氰酸盐基团的三聚反应形成基于六元环(1,3,5-三嗪环)的耐热性烷基氰酸盐;(c)通过该烷基氰酸盐与环氧基团的反应形成烷基氰酸盐和重转位烷基异氰酸盐的生成。(d)烷基异氰酸盐的开环与环氧基反应形成恶唑二酮环(五元环)。另外,固化时除了图1所示的4个反应((a)至(d))外,还有可能加入环氧化合物之间的聚合,形成复合化的交联结构。环氧树脂/CE类的硬化反应在无催化剂的情况下也能进行,但使用催化剂时,主要使用以辛烷酸锌为代表的锌和铜等金属酸盐以及咪唑等碱性催化剂。

  以上所述的尝试分析硬化反应机制的一个例子,Bartolomeo等人”发现双酚A型CE (BADCE)和双酚A型环氧树脂(DGEBA)的组合(CE/EP=75/25)wt),以下四种红外(IR)吸收强度,(1)环氧基团(915cm -里),(2)氰酸盐基团(2270cm -'),(3)异氰酸盐环(1684cm -')和(4)恶唑二酮环(1770 cm-1)在180℃下的反应中进行跟踪的数据。基于该数据,简化了相对IR吸收强度的时间变化,并重新绘制了模型图(参照图2)。

  图1 环氧树脂与氰酸酯反应机理

  图2 180℃等温固化时的氰酸酯/环氧树脂系的红外吸光度的变化模型图

  根据该模型图,反应开始后氰酸盐基团的峰值减少幅度很大,远远超过环氧基团的减少幅度,反映出180℃时氰酸盐基团的反应性很高。另外,与氰酸盐基团的减少相呼应,氰酸盐的三聚化和随后的重排形成异氰酸盐环(反应(b)→(c))在反应开始后迅速发生并达到峰值。在峰值附近保持一段时间后,异氰酸盐环开始开环,吸收强度逐渐降低,可以认为(反应(d))。另一方面,五元环的恶唑二酮环在异氰酸盐环的吸收强度达到顶点时开始逐渐形成,上升趋势持续到接近反应终盘(反应(d)和(a))。另外,在该系统中,铬(Ⅲ)乙酰乙酯作为催化剂,环氧树脂中的氢氧基(含杂质中)对促进CE的硬化也有一定的作用。

  以上所述的反应机制是使用一般的甘油醚型环氧树脂时的反应机制,而对于使用脂环型环氧树脂时,Lin提出了不同的反应机制8)。另外,也有报告指出,如果CE的环化反应中有苯酚介入,苯酚化合物就会优先生成环结构中有2官能性(-0-C=N末端有2个)的三嗪环化合物。